1、渦街流量計測量原理
渦街流量計是基于卡門渦街原理制成的一種流體振蕩性流量計。即在流動的流體中放置一個非流線型的對稱形狀的物體(渦街流量傳感器中稱之為漩渦發生體),就會在其下流兩側產生兩列有規律的漩渦即卡門渦街,其漩渦率正比于來流速度:
F=Stu /d (1)
式中F-渦街頻率
d-漩渦發生體寬度
u-來流速度
St-斯特勞哈爾數
St的值與漩渦發生體寬度d和雷諾數Re有關。當雷諾數Re<2×10的4次方情況下,St為變數:
當Re在2×10的4次方~7×10的6次方的范圍內,S值基本上保持不變,這段范圍為流量計的基本測量范圍。式(1)表明,當d和S.為定值時,漩渦產生的頻率F與流體的平均流速u成正比,由于渦街傳感器所測的并不是平均流速,而大約是漩渦發生體兩側的流速。對于湍流狀態,不同的雷諾數下,流速分布規律是不同的。即不同的流速下具有不同的流速分布,進而說明了渦街流量傳感器檢測到的主要反映漩渦發生體兩側的流速與管道平均流速的關系不是口隹一確定的。這說明渦街流量傳感器的非線性誤差是其檢測機理所決定的。
2、渦街流量計在我廠的應用實例
在動力部制氧出口富氧量計量、焦化廠用氮氣計量采用了渦街流量計。下面以制氧出口富氧量計量講述渦街流量計的選型及注意事項。
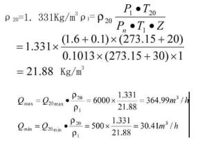
①工藝參數:被測介質:氧氣工作壓力:1.6MPa(表壓)工作溫度:30℃被測流體流量:Q20max=6000Nm3/hQ20com4000nm3/hQmin=500NM3/h管道內徑:D=150當地平均大氣壓:0.1MPa
管道材質:A3碳鋼
②設計計算:T1=273.15+30=303.15K
P=1.6+0.1=1.7MPa工作狀態下氧氣壓縮系數:Z=0.994≈1。

對照渦街流量計產品選型樣本對于50A(口徑為50的渦街流量計):

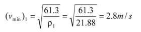
相對應Qmin)1=×a,×3600=2.8×0.00205×3600=20.664m3/h對于80A(口徑為80的渦街流量計):

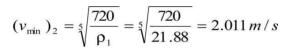
相對應(Qmin)2=×a2×3600=2.011×0.00396×3600=28.67m3/h
其中:a1、a2分別為口徑為50的渦街流量計與口徑為80的渦街流量計的口徑面積。由以上條件,從理論上來說50的渦街流量計與口徑為80的渦街流量計均符合流量測量要求,但綜合考慮,由于富氧管道內徑為150mm當縮徑到50nm時,有可能當用量較大時,縮徑部位流通能力達不到要求,在者,從氧氣輸送安全角度著想,管道內徑由150mm猛縮至50mm,當用量較大時,縮徑部位流速大大增加,從而使氣體及氣體與管道之間摩擦系數增大,増加了安全隱患。所以從流通能力及安全角度兩方面綜合考慮,選擇口徑為80的渦街流量計為ZUI佳。
注意事項:
①在渦街流量計產品選型樣本中,所指流量為工況下實際流量,在選型時須將標況下流量換算成工況下流量。
②在渦街流量計產品選型過程中,般無需考慮流量上限值,但流量下限值需滿足,為滿足流量下限值的測量要求,通??紤]縮徑,在同樣滿足測量要求的情況下,應結合流體特性及管道條件綜合考慮縮徑的大小。
③在震動較強的地方不宜選用渦街流量計
④渦街流量計的耐高溫性能較差,所以不宜用作蒸汽的計量。也曾經有過失敗的例子。
3、優缺點
渦街流量計具有量程寬,無可動部件運行可靠,維護簡單,壓力損失小,具有定的計量精度等優點。特別是在很寬的范圍內,它的測量與介質的密度、粘度等物性參數無關,因而受到普遍歡迎。旋渦流量計比較xj****,但安裝也有一定的困難,而且防震性能較差,抗干擾能力差;質量流量計造價較高。
4、結語
對比孔板流量計、渦街流量計、金屬轉子流量計,它們各有不同特點。孔板具有******性的******標準,適用范圍廣泛,但是對于安裝要求也較高,有嚴格的安裝規范且安裝出現問題,由此造成的誤差也是相當大的,而且孔板流量計的維護量較大。而渦街流量計的應用具有一定局限性,不適合測量臟污介質、抗震動能力差、不適合測量低流速氣體,但渦街流量計安裝簡單,日常維護量小,比較適合測量高流速大流量的干浄氣體。金屬轉子流量計比較適合小流量的計量,但對管道的清潔度要求較高。在流量測量方面,新技術、新發明新產品不斷出現,我們計量工作者應向計量技術的更高層次研究發展,使菜鋼的計量工作更加完善。
瀏覽:
上一篇:渦街流量計的主要特點和技術參數
下一篇:無
